Les rapatriés d'Algérie dans la région parisienne
|
En 1962 en quelques semaines plusieurs centaines de milliers de rapatriés d'Algérie arrivaient en France. Cette migration n'est pas la seule de son espèce depuis 1945 la décolonisation s'est accompagnée partout de phénomènes semblables :
Cette communauté française d'Algérie, importante par son nombre, composite par ses origines implantée, dans le pays depuis plusieurs générations, est très différente des groupes Européens installés dans la plupart des colonies venus assurer une tâche encadrement militaire administratif
ou économique et repartant vers leur métropole d'origine au moment de leur retraite ou même avant. Pourtant on peut trouver d'autres exemples de populations de ce type ayant été rapatriées, c'est le cas en particulier des 250 000 Hollandais d'Indonésie comprenant 60 à 70% d'Eurasiens dont beaucoup n'étaient jamais venus en Hollande avant leur rapatriement entre 1952 et 1957 1.
La rapidité du rapatriement des Français d'Algérie est un autre caractère original. On se souvient des images que la presse nous en donné en 1962 des foules se disputant les places de bateau ou d'avion. Les chiffres confirment cette impression d'exode brutal : sur les 926 880 Français ayant quitté l'Algérie entre les recensements de 1962 et 1968, 60% l'ont fait entre février et décembre 1962, 13,2% seulement en 1963. D'autre part, on estime à 110 000 1 les Français ayant quitté l'Algérie pendant la période intercensitaire antérieure.
Les rapatriés ont donc été attirés par deux types très différents de régions, le Midi d'une part, les régions les plus dynamiques, celles qui offrent le plus grand nombre emplois d'autre part.
La principale source statistique qui a été utilisée dans cette étude est le recensement de 1968, le premier à comprendre les rapatriés qui, par leur date d'arrivée en France, avaient en grande partie échappé au recensement de 1962. Lors de l'exploitation du recensement, l'I.N.S.E.E a classé comme rapatrié d'Algérie, toute personne qui résidait en Algérie le 1er janvier 1962, à l'exception des Algériens et des personnes qui, quelle que soit leur nationalité, étaient nées en Algérie et portaient un nom ou un prénom à consonance arabe ou berbère 1. L'exclusion de ces noms répond au désir de ne pas compter parmi les rapatriés les Algériens ayant opté pour la nationalité française, comme ont fait certaines familles de harkis ou de travailleurs algériens installés en France de longue date. 1. UNE STRUCTURE DEMOGRAPHIQUE PEU ORIGINALE
Des renseignements sur le sexe âge et les activités des rapatriés ont été publiés par I.N.S.E.E au niveau national et celui de la région 1.
La population rapatriée comprend plus d'hommes, en particulier plus de jeunes adultes (25-34 ans) que la population française : au contraire les jeunes (15-24) ans et les personnes âgées sont moins nombreux. Mais cette différence apparente entre les deux populations est due en partie aux défauts des statistiques ; inclure dans la population rapatriée les fonctionnaires en poste en 1962 gonfle les tranches d'âge 25-44 ans ; en exclure les Français ayant quitté l'Algérie avant 1962 affaiblit probablement la proportion des personnes âgées, des femmes et des jeunes adultes (15-24 ans en
1968, 9-18 ans en 1962). Une fois écartées ces différences apparentes, la seule originalité réelle de la population rapatriée paraît être son vieillissement moins prononcé, déjà très net dans les recensements antérieurs en Algérie (en 1954 les personnes âgées de plus de 60 ans représentaient 16,1% des Français et 11,2% des non-musulmans d'Algérie) ; ce vieillissement est d'ailleurs exagéré ici par les statistiques. L'autre originalité probable de cette population, son plus grand nombre d'enfants est impossible à étudier d'après les données du recensement, l'erreur de programmation dont nous avons parlé rendant inutilisables les statistiques sur la tranche âge 0-6 ans.
159 000 personnes 17,1% des rapatriés se sont fixées dans la région parisienne. Ce chiffre comprend d'une part 138 000 personnes habitant l'agglomération, d'autre part 21 000 personnes vivant dans la périphérie de cette agglomération. Mais les sources ne nous permettent pas de distinguer les caractères démographiques et sociologiques, peut-être différents, de ces deux groupes et l'étude a été menée dans le cadre de la région.
Toutes les classes âges sont donc représentées dans cette région, mais l'une d'elles est nettement sur-représentée par rapport à la moyenne de celle des 25-34 ans, à laquelle on peut ajouter la classe 35-44 ans surtout pour sa partie masculine (mais les femmes et les enfants une partie de ces hommes avaient peut-être migré en France avant 1962). La part des rapatriés ayant choisi la région parisienne diminue à mesure que les âges s'élèvent. Une comparaison entre les pyramides des âges des rapatriés de différentes régions (fig.1, p 646) complète ces remarques : à la jeunesse des populations rapatriées installées en région parisienne ou dans la région Rhône-Alpes s'oppose la vieillesse des groupes fixés dans les trois régions méridionales, en particulier en Provence-Côte Azur En règle générale les régions les plus dynamiques offrant des emplois variés et souvent qualifiés ont attiré les jeunes, alors que les personnes âgées ont été plus souvent retenues par le Midi, plus
sensibles à l'attirance du climat et du mode de vie et peut-être aussi à l'espoir d'un retour en Algérie.
Par rapport à l'ensemble de la région parisienne, l'originalité de la population rapatriée est très grande (fig.2). De l'importante proportion de jeunes adultes (25-39 ans) découle le nombre élevé enfants de 7 à 14 ans. La faiblesse de la classe 14-21 ans s'explique sans doute en partie, par l'âge des parents, mais aussi par le départ d'Algérie plus précoce des enfants. Le faible pourcentage des personnes âgées résulte de ce qui été dit précédemment.
La figure 3 compare la structure par âge de ces migrants internes à celle des rapatriés. Les migrants internes sont surtout représentés par de jeunes adultes : 39,6% d'entre eux ont en effet de 20 à 29 ans. Face à cette structure par âge très particulière, celle des rapatriés apparaît beaucoup plus équilibrée, plus proche de celle de l'ensemble de la population de la région.
Cette comparaison met bien en valeur l'originalité de la migration des Français d'Algérie, migration d'une population entière où toutes les classes d'âge sont représentées. Les différences entre l'ensemble des rapatriés français et les rapatriés de la région parisienne apparaissent seulement comme des nuances de ce caractère fondamental.
2. UNE POPULATION ACTIVE PEU NOMBREUSE OU DOMINENT LES FONCTIONNAIRES
L'arrivée des rapatriés d'Algérie n'a pas brutalement augmenté le nombre d'actifs français : en 1968 il avait près de 340 000 actifs parmi les 930 000 rapatriés recensés : ils constituaient à peine 3,6% de la population active française. Ils ne représentaient en outre qu'une partie faible de l'accroissement de cette population active entre 1962 et 1968 (300 000 personnes).
Ce petit nombre d'actifs chez les rapatriés est même remarquable : malgré leur forte proportion de personnes d'âge actif, ils ont un taux général activité plus faible que celui de l'ensemble de la population française et ceci aussi bien au niveau national qu'au niveau parisien
Cette différence explique essentiellement par le faible taux activité féminine chez les rapatriés, qui était déjà caractéristique de la population pied-noir d'Algérie (en 1954 20,5% des femmes non musulmanes d'Algérie étaient actives alors que 38% des Françaises l'étaient à la même date).
Le taux d'activité féminine chez les rapatriés est nettement plus élevé dans la région parisienne que dans ensemble du pays. Mais il reste malgré tout inférieur à celui de l'ensemble de la population de la région parisienne.
Avant la migration, la population active française Algérie avait une structure originale, dont il faut tenir compte pour comprendre les problèmes posés par son insertion dans la population active de la métropole. Les secteurs primaire et à un moindre degré, secondaire occupaient un faible nombre de Français d'Algérie : l'industrialisation était beaucoup plus faible en Algérie qu'en France, tandis que la main-d'œuvre algérienne dominait dans l'agriculture. En revanche, le secteur tertiaire avait dans leur emploi une part prépondérante : 58,6% des actifs parmi les non-musulmans d'Algérie appartenaient à ce secteur en 1954, alors qu'il n'y en avait que 35,4% en métropole. La différence entre les deux populations était particulièrement nette quant à l'importance du secteur public. L'originalité de cette répartition par activités des pieds-noirs se reflétait dans la structure
socio-professionnelle : part très réduite des catégories agricoles, proportion un peu plus faible qu'en France des ouvriers, mais environ deux fois plus forte pour quatre catégories : les patrons, les professions libérales et cadres supérieurs, les cadres moyens, l'armée et la police.
L'étude de la structure de la population active non musulmane d'Algérie en 1954 souligne bien la complexité du rôle de la collectivité française en Algérie : il ne s'agissait pas seulement d'une population de cadres coloniaux (comme les groupes de Français d'Afrique noire), mais son rôle d'encadrement de la population colonisée était quand même très important. Le rapatriement a provoqué chez les Français d'Algérie, des changements dans la structure de la population active. Il est possible de saisir ces changements en comparant les rapatriés de 1968 à la communauté non musulmane d'Algérie en 1954, mais cette étude doit être menée avec précautions ; en effet, la population rapatriée du recensement de 1968 n'est ni toute la population pied-noir, ni seulement la population pied-noir. C'est ainsi que l'afflux des membres de la police et de l'armée dans l'Algérie en guerre, explique l'accroissement très brutal de la catégorie socio-professionnelle (qui passe
de 16 000 32 000 personnes) ; il rend compte aussi en partie de l'accroissement du nombre des actifs employés dans les services publics (5% environ). D'autre part, quatorze années séparent les deux recensements ; il est certain qu'entre 1954 et 1962 la population active française d'Algérie a
évolué, probablement dans le même sens que la population française. A condition de tenir compte de ces faits on peut apprécier les grands traits des changements intervenus.
Le principal changement est la forte diminution du nombre des " indépendants " : agriculteurs exploitants et patrons de l'industrie et du commerce. Dès leur arrivée en France, beaucoup de membres de ces catégories ont eu conscience de la difficulté de conserver leur statut dans le contexte français et un tiers environ des chefs entreprise 1 demandèrent alors un emploi salarié. D'autres ont essayé de créer en France une entreprise agricole commerciale ou industrielle du même type que celle ils possédaient en Algérie et ayant échoué, se sont finalement insérés eux aussi dans autres catégories.
La situation de départ, l'évolution dont le rythme est différent de celui de la population française expliquent originalité de la population active rapatriée en 1968. L'importance du tertiaire de l'emploi dans les services publics, part notable de cadres et employés, faible représentation des
Indépendants.
L'insertion des rapatriés d'Algérie dans l'économie française est apparemment réalisée sans grande difficulté. En fait plus un tiers des rapatriés sont employés par l'Etat, ce qui témoigne, même en tenant compte du nombre élevé de fonctionnaires lors du rapatriement, un effort des pouvoirs publics pour absorber les nouveaux venus, effort facilité par le faible nombre de rapatriés actifs.
Etant donné les types d'emploi occupé, les rapatriés n'ont représenté une concurrence sérieuse que pour les jeunes Français cherchant un emploi de fonctionnaire de 1962 à 1968.
Les conditions d'insertion de la population active rapatriée dans la région parisienne sont très particulières : dans cette région qui offre des emplois plus nombreux et plus variés que toute autre les rapatriés actifs sont moins de 70 000 soit à peine 1,5% des actifs de la région.
Une comparaison de la structure de la population active rapatriée de la région parisienne avec celle de l'ensemble des rapatriés d'une part, celle de l'ensemble des habitants de la région d'autre part permet de dégager ce qui fait originalité des rapatriés dans la région parisienne.
La population active des rapatriés de la région parisienne présente les mêmes caractères que celle de l'ensemble des rapatriés, mais, dans tous les domaines, ces caractères sont plus ou moins accentués. Ainsi dans la structure de l'emploi, la part du secteur secondaire, faible chez les rapatriés de l'ensemble de la France (28,4%), l'est encore plus dans la région parisienne (23,6%). De même, la répartition par catégories socio-professionnelles, on retrouve au niveau parisien de façon plus nette qu'au niveau national, la faiblesse des patrons de l'industrie et du commerce (4,8% des rapatriés en région parisienne, 7,4% dans la France entière) et l'importance de la part des cadres et des employés (ces trois catégories représentent 60% des rapatriés actifs de la région 45% de ceux du pays). Seule exception à cette règle, la part des rapatriés appartenant à l'armée et à la police est nettement moins forte à Paris qu'en province.
Ce sont donc surtout des salariés occupant des emplois non manuels qui ont choisi de venir installer dans la région parisienne. Les cadres y sont particulièrement nombreux ; c'est probablement dans cette région qui offre un vaste éventail d'emplois, que beaucoup d'anciens indépendants ont réussi
leur reclassement.
L'originalité de la population rapatriée en région parisienne par rapport à la population d'accueil apparaît sur les figures 4 (catégories activités économiques) et 5 (catégories socio-professionnelles). Elle tient trois à trois caractères : la faiblesse de la part des ouvriers et des actifs travaillant dans
l'industrie, l'importance du secteur tertiaire cadres et employés, la part réduite des patrons
Dans une région aussi fortement industrialisée que la région parisienne, la faiblesse de la part du secteur secondaire dans l'emploi des rapatriés est remarquable (ce secteur emploie 41,1% des actifs de la région, 23,6% des rapatriés). L'industrie parisienne, trop différente de celle qui existait en
Algérie, a attiré un petit nombre d'ouvriers rapatriés. Peut-être aussi l'attirance socio-culturelle de Paris a-t-elle moins joué pour eux que pour les cadres. Pour mieux comprendre la place occupée par les rapatriés dans la population active parisienne et comparer l'apport qu'ils ont représenté aux autres apports extérieurs, le tableau X regroupe pour les principales catégories d'activités économiques et catégories socio-professionnelles, la part des
Rapatriés, des étrangers et des migrants internes (actifs habitant en 1962 une autre région française et en 1968 la région parisienne)
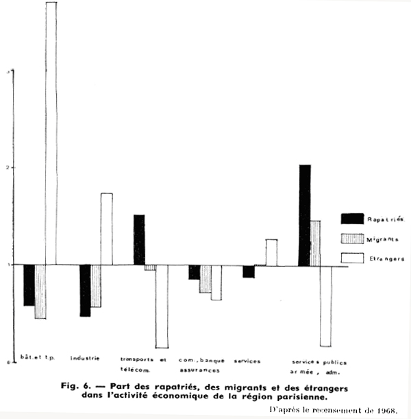
A partir de ce tableau nous avons calculé indice de représentation de chacune des populations étudiées dans chaque catégorie, l'indice 1 étant égal à la part de chaque population dans la population totale de la région parisienne. Ainsi avec 8,8% des actifs employés dans les travaux publics et le bâtiment alors qu'elle représente 15% de la population active de la région la population rapatriée aura un indice de 8,8/15 soit 0,58 Ce sont ces indices qui sont représentés sur les figures 6 (par C.A.E.) et 7 par (C.S.P.) et permettent de dégager les caractères de l'apport des rapatriés la population active de la région.
Les rapatriés n'ont en rien concurrencé l'immigration étrangère ; ils ne se sont pas orientés vers les mêmes activités, car leur structure sociale était fondamentalement différente. Mais il y a une grande ressemblance entre la population active rapatriée et l'ensemble des actifs provinciaux arrivés à
Paris entre 1962 et 1968. Tous deux sont sur-représentés dans les services publics, tous deux comprennent une part importante de cadres et employés. L'originalité des rapatriés s'inscrit dans le cadre de cette ressemblance. Ils sont sur-représentés, même par rapport aux migrants dans les
services publics (fig.6) ; cela est confirmé (fig.7) par l'importance de la catégorie armée-police et s'explique par ce qui été dégagé précédemment : la comptabilisation parmi les rapatriés des nombreux fonctionnaires qui se trouvaient en France en 1962, la forte proportion de fonctionnaires parmi les Français Algérie dans le cadre colonial, l'importance des reclassements au service de l'Etat des " indépendants " rapatriés. Surtout la structure sociale des rapatriés est légèrement différente : ils sont plus fortement représentés que les migrants à mesure que l'on s'élève dans l'échelle sociale (fig.7) ; davantage chez les cadres supérieurs que chez les cadres moyens, chez les cadres moyens que chez les employés. En revanche le personnel de service sous-représenté chez les rapatriés est sur-représenté chez les migrants.
Parmi les rapatriés ce sont donc ceux qui ont le moins de difficultés à s'intégrer dans la société française qui ont choisi ou qui ont été contraints de s'installer dans la région parisienne : les jeunes adultes, les catégories socio-professionnelles aisées comme les professions libérales et les cadres, les personnes cherchant des types d'emploi particulièrement nombreux dans agglomération parisienne comme les employés. Aussi les problèmes d'adaptation de cette population sont-ils moins aigus que dans le Midi par exemple, qui a accueilli davantage de gens âgés et de personnes appartenant des catégories socio-professionnelles dont l'implantation est plus délicate, comme les
" indépendants ". Cette sorte de " tri " qui s'est opéré parmi les rapatriés lors de leur implantation dans les différentes régions françaises, aboutit à atténuer dans la région parisienne, l'originalité des rapatriés par rapport aux migrants venus d'autres régions françaises ; seules des nuances : structure par âge plus équilibrée, part plus importante des cadres des fonctionnaires les différencient pourtant. 3. LA LOCALISATION DES RAPATRIES DANS L'AGGLOMERATION PARISIENNE
A partir des données statistiques établies par I.N.S.E.E., il est possible d'étudier avec précision cette localisation (niveau de la commune de banlieue, du quartier de Paris) dans les communes définies par cet organisme comme faisant partie de l'agglomération. Ces communes abritent la plus grande
partie des rapatriés de la région : 138 000 sur 159 000. a/ A Paris Un premier groupe de quartiers se distingue quand même légèrement des autres par sa faible population de rapatriés : il agit des quartiers du centre historique et commercial de Paris dont aucun en abrite plus de 250 ; dans ce centre on trouve les quartiers dont le pourcentage de population rapatriée est inférieur 0,7% : Sorbonne, Odéon, Saint Thomas d'Aquin, et Invalides, sur la rive gauche Champs-Elysées Auxerrois. Mail et Arsenal sur la rive droite (le pourcentage élevé du quartier Vivienne est peu significatif car dans ce quartier exceptionnellement peu peuplé les rapatriés ne sont que 196). La faible représentation des rapatriés dans les quartiers du centre s'explique facilement : ces quartiers, où l'on construit peu, abritent une population stable et ont donc offert peu de possibilités de logement aux nouveaux arrivants.
S'opposant au centre, deux groupes de quartiers ont au contraire une population rapatriée supérieure à celle du reste de Paris.
Les quartiers périphériques de la ville, à l'exception de ceux du Parc Montsouris et de Bercy (quartiers ailleurs peu peuplés), regroupent tous plus de 250 rapatriés et parmi eux nous trouvons les quartiers comptant plus de 600 rapatriés. C'est dans ces quartiers qu'existent les pourcentages les plus élevés de population rapatriée dans la population totale : La Villette
1,8%, Grenelle 1,7%, Maison-Blanche 1,6%. Il agit de quartiers en pleine mutation où ont été effectués entre 1962 et 1968 des opérations de rénovation : des logements délabrés utilisant beaucoup espace ont été démolis et remplacés par des logements neufs, où dominent les appartements mis en vente et destinés aux cadres. Les logements neufs représentent plus de 10% du total des logements dans cinq quartiers de Paris : Gare et Maison-Blanche dans le XIIIe, Grenelle et Javel dans le XVe, La Villette dans le XIXe. Beaucoup de cadres rapatriés bénéficiant de l'aide de l'Etat ont pu acheter ces logements neufs.
Un groupe de quartiers des IXe Xe et XIe arrondissements où les pourcentages de population rapatriée sont supérieurs à la moyenne parisienne mais dont les chiffres absolus restent relativement modestes de l'ordre de 250 à 600 rapatriés par quartier Saint-Georges (IXe) Saint-Vincent-de-Paul, Porte-Saint-Martin et Porte-Saint-Denis (Xe) Folie-Méricourt (XI e). Léo Palacio a évoqué ces quartiers où se multiplient " les boucheries kacher, les bistrots fleurant bon anis et le cumin " 1. Ces quartiers déjà vétustes et insalubres, étaient occupés depuis le début du XXe siècle par dès artisans et commerçants juifs venus d'Europe centrale et orientale, qui avaient installé leurs ateliers, leurs temples, les commerces dont ils avaient besoin (épiceries orientales, boucheries kacher...). Cette population fortement réduite par les persécutions nazies diminuait, les enfants des émigrants s'assimilant à la population française, abandonnant le métier, les coutumes et quelquefois les quartiers de leurs parents. Tandis que les immeubles continuaient à se détériorer, une population " de passage " d'ouvriers immigrés espagnols et nord-africains surtout (les étrangers représentaient 5 à 10% de la population de ces quartiers en 1962, 7 à 16% en 1968) s'y installait. Le caractère original de ces rues se perdait, une partie des commerces spécifiques fermait, les cafés nord-africains apparaissaient.
Pourtant quelques juifs Algérie artisans et petits commerçants eux aussi, y trouvèrent un abri provisoire grâce à la solidarité de la communauté encore présente et les services aide sociale de la mairie du Xe arrondissement se souviennent avoir été particulièrement débordés en 1962. Certains d'entre eux se sont relogés ailleurs, mais d'autres sont restés dans le quartier aux côtés des juifs de Tunisie et du Maroc nombreux eux aussi.
b/ En banlieue
Parmi les rapatriés de ce secteur on note une forte minorité juive et des communautés religieuses israélites organisées sont apparues depuis 1962 dans toutes ces communes, sauf Dugny et Aulnay-sous-Bois 1.
Les principales zones de développement durant les années 1962-1968 sont celles où les rapatriés sont les plus nombreux en chiffres absolus comme en pourcentages.
- Les communes desservies par l'autoroute du Sud : Massy, Antony, Chilly-Mazarin, Savigny-sur-Orge, Viry-Châtillon, Grigny, Ris-Orangis, Ivry et Corbeil-Essonnes, dont le développement est actuellement très rapide, comptent toutes de nombreux rapatriés : au total 11 160 ; cinq d'entre elles
abritent plus de 1 000 rapatriés, dans six d'entre elles les rapatriés représentent plus de 4% de la population. Une partie de cette population a été logée dans des ensembles où elle a bénéficié des priorités dont nous venons de parler : grand ensemble de Massy-Antony, cité C.I.L.O.F de
Viry-Châtillon... mais dans cette zone existent surtout de nombreuses résidences par appartements ou villages de pavillons, construits et vendus depuis 1962, que les rapatriés, grâce leur rapide reclassement professionnel et aux prêts spéciaux dont ils ont bénéficié, ont pu acheter.
Dans la banlieue ouest, les rapatriés sont dispersés et on ne peut distinguer que deux zones de concentration assez modeste :
CONCLUSION
Les rapatriés sont donc présents aujourd'hui dans toute la région parisienne. Leur localisation s'explique essentiellement par les possibilités de logement qui leur ont été offertes. On les trouve dans les zones où la densité s'est accrue depuis 1962 (arrondissements périphériques de Paris, banlieue sud et nord-est), avec une concentration plus prononcée dans les communes où un grand nombre de logements de type social a été terminé au cours des années 1962-1965. Cette concentration dans les quartiers à développement récent se retrouve d'ailleurs chez les migrants internes venus d'autres régions françaises pendant les mêmes années.
Hollandais d'Indonésie, Britanniques des Indes… En France entre 1945 et 1962 quelque 350 000 Français d'outre-mer avaient déjà été intégrés à la population de la métropole venus d'Indochine, de Tunisie, du Maroc, d'Afrique noire etc... Par rapport ces diverses migrations l'originalité de celle des Français d'Algérie tient deux caractères : l'ancienneté et l'importance de la population française d'Algérie, la rapidité de son rapatriement. Les Français étaient en effet beaucoup plus nombreux en Algérie que dans les autres régions colonisées par la France : 985 000 " non-musulmans " étaient recensés en Algérie en 1954. Les liens de ces Français avec la métropole étaient parfois assez lointains ainsi plus de 80% des rapatriés sont nés en Algérie 2, 28 100 entre eux n'étaient jamais venus en France avant 1962 3. D'autre part les pieds-noirs ne sont pas tous d'origine française, aux Français de souche se sont assimilés :
- les Espagnols nombreux en particulier en Oranie. Dans son analyse du fichier central des rapatriés en 1963, J.Billy 4 note la fréquence des patronymes espagnols : sur 650 000 fiches, il compte 7 000 Garcia 6800 Martinez, 4800 Perez, 600 Lopez… ;
- les juifs d'Algérie installés dans ce pays depuis de longs siècles, qui avaient acquis la nationalité française en 1870 et dont l'assimilation avait été très rapide entre cette date et la première guerre mondiale. Selon Bensimon-Donath 5, ils étaient environ 140 000 en Algérie avant l'indépendance. Depuis 15 000 se sont fixés en Israël 125 000 en France où ils représentent environ 15% de l'ensemble des rapatriés.
1. I.N.S.E.E. " Mouvements de la population Statistiques annuelles ", 1960-1961, 1962, Paris,
Imprimerie Nationale.
2. J.BILLY Que sont les rapatriés Algérie Promotions no 64 1er trim 1963.
3. I.F.O.P., Enquête : " Où en sont les rapatriés Algérie ? ", Perspectives no 837, 20 avril 1963.
4. J.BILLY, art. cité.
5. D.BENSIMON-DONATH " Intégration des juifs nord-africains en France ", Thèse complémentaire au doctorat d'Etat, 1969.1. J.H.KRAAK " The rapatriation of the Dutch from Indonesia R.E.M.P ", Bulletin avril-juin 1958,
I.N.S.E.E. Mouvements.
Ainsi avons-nous assisté au déplacement à peu près complet d'une population pour l'essentiel entre 1961 et 1963. En 1966 on ne recensait plus en Algérie que 68 000 Français ce chiffre comprenant, en plus des pieds-noirs restés sur place, les coopérants arrivés après 1962. Toutes les classes d'âge, toutes les catégories sociales ont migré. Il en était de même pour les Hollandais d'Indonésie, mais leur déplacement ayant été beaucoup plus étalé dans le temps, J.H.Kraak 2 avait pu montrer comment, de 1945 1957, quatre vagues de migrants s'étaient succédées, chacune d'entre elles ayant ses caractères sociaux et ethniques propres et posant des problèmes de reclassement
professionnel et d'assimilation plus aigus que la précédente. Dans le cas des Français d'Algérie la rapidité du rapatriement rend beaucoup plus difficile la différenciation de vagues : il est probable que les Français ayant quitté l'Algérie avant 1962, avaient des caractères originaux (plus de femmes de
jeunes et enfants, catégories socio-professionnelles plus aisées). Cette première vague semble un peu différente de celle, beaucoup plus importante, qui l'a suivie, mais l'état des sources rend difficile la vérification de cette hypothèse.
1. I.N.S.E.E. Mouvements de la population, art cité.
2. J.H.KRAAK, art cité.
D'après le recensement de 1968, cinq régions regroupent 66,8% des rapatriés.
Provence-Côte Azur Corse exclue
214 040 personnes
23,2% des rapatriés
Région parisienne
159 140 personnes
17,1% des rapatriés
Rhône-Alpes
99 780 personnes
9,7% des rapatriés
Languedoc-Roussillon
83 080 personnes
8,9% des rapatriés
Midi-Pyrénées
73 900 personnes
7,9% des rapatriés
Total
629 940
66,8%
La majorité des rapatriés sont arrivés par Marseille et l'espoir de repartir en Algérie après les troubles, les a d'abord retenus dans la région méditerranéenne. Puis d'autres raisons ont contribué à en fixer un grand nombre dans le Midi : le climat et le mode de vie étaient proches de ceux de l'Algérie, nombre d'entre eux avaient des relations dans ces régions dont leurs familles
étaient originaires (ainsi beaucoup de viticulteurs ruinés par le phylloxéra avaient traversé la Méditerranée). Dans ces régions méridionales les rapatriés forment actuellement une part relativement importante de la population totale : 5,8% en Provence-Côte Azur 4,4% en Languedoc-Roussillon.
Mais d'autres ont quitté très vite les régions méridionales pour chercher un emploi dans des régions plus dynamiques comme la région Rhône-Alpes ou la région parisienne. L'attirance de cette dernière a joué dès le début de la migration : en 1964 le ministère des Rapatriés, après une enquête portant sur 625 000 personnes estimait que 17% d'entre eux vivaient dans la région parisienne 1. Ces nouveaux habitants se remarquent moins dans l'énorme concentration parisienne que dans le Midi ; ils ne représentent que 1,7% de la population de la région. Ce sont ces 160 000 nouveaux Parisiens qui sont l'objet de cette étude.
Dans le cadre de la région parisienne dont la population s'accroît depuis des siècles surtout par l'immigration, il est intéressant de dégager l'originalité de l'apport des rapatriés d'Algérie par rapport aux deux autres apports essentiels : les provinciaux dont l'étude de M.Fourcher 2 a bien montré
l'assimilation progressive et rapide et les étrangers, au contraire peu assimilés et se concentrant dans certains quartiers de l'agglomération. L'étude des caractères du groupe des rapatriés dans la région parisienne (répartition par sexe et par âge, structure de la population active), la comparaison des caractères de cette population avec ceux de l'ensemble des habitants de la région d'une part, de l'ensemble des nouveaux arrivés dans cette région depuis 1962 d'autre part, l'analyse de la localisation des rapatriés dans l'agglomération permettent de dégager cette originalité.
1. Cité dans " Fédération nationale du Bâtiment. Pour une politique long terme du logement ",
Paris, 1964.
2. Guy POURCHER, " Le Peuplement de Paris. Origine régionale composition sociale attitudes
et motivations ", Paris, P.U.F., 1964.
La définition utilisée par I.N.S.E.E exclut des rapatriés recensés les quelque 110 000 Français d'Algérie qui ont quitté ce pays pour la France avant 1962 ; il faudra tenir compte de cette lacune dans interprétation des chiffres. Elle inclut en revanche parmi les rapatriés, à côté des pieds-noirs
installés de longue date en Algérie, les fonctionnaires et les militaires de carrière français nommés dans ce pays, et qui peuvent n'y avoir passé que quelques mois. Or, par suite de l'aggravation de la guerre et aussi de l'effort de renforcement de l'encadrement administratif colonial dans les années 1960-1962, beaucoup d'officiers et de jeunes fonctionnaires furent nommés en Algérie et s'y trouvaient encore lors des accords d'Evian.
A la population rapatriée ainsi définie, l'I.N.S.E.E a ajouté leurs enfants nés en France après le 1er janvier 1962 et aussi, à la suite d'une erreur de programmation, les enfants d'Algériens nés en France après cette date.
Les données du recensement de 1968 concernant les rapatriés sont donc partielles (exclusion d'environ 1/10e des pieds-noirs rapatriés avant 1962) et manquent homogénéité (amalgame des pieds-noirs et des fonctionnaires en service en Algérie). Malgré ces aspects négatifs dont nous nous sommes efforcés de tenir compte, elles sont les plus complètes que nous possédions pour analyser l'intégration des pieds-noirs dans la société française. La population rapatriée est en effet très difficile à cerner : étant Français par définition le rapatrié ne se différencie pas " administrativement " de ses compatriotes, à la différence de l'étranger séjournant en France. D'autre part, l'éphémère ministère des Rapatriés a tenu peu de statistiques, voulant probablement éviter de mettre l'accent sur ce qui risquait de différencier les rapatriés de la population dans laquelle on voulait les intégrer.
1. I.N.S.E.E. " Recensement général de la population de 1968 Résultats du sondage au quart,
Notice ", p14, n11
Au niveau national le tableau indique le pourcentage de chaque sexe et de chaque âge dans la population rapatriée et dans la population française
1. I.N.S.E.E. " Recensement de 1968 Sondage au quart tableaux " Ml 304, 306, 307, 308, 309,
519, 520
Le tableau II indique pour chaque sexe et pour chaque classe d'âge le pourcentage des rapatriés qui s'est fixé en région parisienne.
La jeunesse de la population rapatriée constitue un apport intéressant pour la région, mais il ne faut pas en exagérer importance les rapatriés ne représentent que 1,7% de la population de la région et 2,1% des hommes de 25 à 45 ans. L'apport des rapatriés est beaucoup moins grand que celui des provinciaux arrivés dans la région au cours de la même période 1962-1968 : les 721 000 " migrants internes " recensés en 1968 dans la région parisienne et en 1962 dans une autre région française sont à peu près cinq fois plus nombreux que les rapatriés d'Algérie.

En 1962 pourtant, l'arrivée des rapatriés coïncidant avec le raccourcissement du service militaire rendu possible par la fin de la guerre, apparut comme un accroissement brutal de main-d'œuvre et inquiéta opinion publique. Face cette inquiétude le gouvernement prit diverses mesures 1 : campagnes pour faire connaître aux intéressés les offres emploi dans toute la France (ce fut le but de l'opération " priorité emploi aux rapatriés " du 8 avril au 31 mai 1963) ; capitaux de reconversion et contrats d'adaptation professionnelle, destinés à aider les rapatriés ne retrouvant pas un emploi
Similaire à celui qu'ils occupaient en Algérie : mesures diverses enfin, s'adressant à des catégories particulières, comme la création d'une licence de taxi supplémentaire réservée à un chauffeur rapatrié pour vingt licences existant dans chaque ville, la priorité aux pharmaciens rapatriés pour toute nouvelle pharmacie ouverte, l'affectation en surnombre dans les hôpitaux des internes et externes rapatriés…
Plus que ces mesures, c'est surtout la conjoncture d'expansion et de plein-emploi de l'économie française durant ces années, qui permit une insertion rapide des rapatriés dans la population active.
La comparaison des structures de la population active rapatriée avec celle de la population non musulmane d'Algérie en 1954 et avec celle de l'ensemble de la population française en 1968 permet la fois de déceler les caractères originaux de cette population et de comprendre comment est faite son insertion dans la population active française.
1. Journal officiel de la République française, " Accueil et ré installation des Français d'outre mer ", Paris, 21 mars 1963.
Si l'ensemble de la population française a vu la part des indépendants diminuer de 1% entre 1954 et 1968, le phénomène été singulièrement accéléré chez les Français d'Algérie par le rapatriement : chez eux la diminution est de 17,7%. Un phénomène analogue avait été noté en Allemagne chez les réfugiés venus des régions orientales en 1945 2.
Ces indépendants devenus salariés, se sont le plus souvent reclassés dans les services publics dont ils ont fait gonfler les effectifs et dans le tertiaire privé (banque, assurances, services). Ils occupent des emplois de cadre supérieur, de cadre moyen ou d'employé : ce sont ces trois catégories socio-
professionnelles qui ont connu le plus fort accroissement. Ici encore, le rapatriement n'a fait qu'accélérer chez les Français d'Algérie un processus déjà en cours pour ensemble de la population française : la part relative de ces trois catégories s'est accrue de 12,6% pour les rapatriés de 9,9%
seulement pour la population française.
1. J.BILLY art cité.
2. Centre européen études de population, " Main-d'œuvre emploi migrations. Situation et
Perspectives ", Paris, I.N.E.D., 1954.
En revanche dans une région où le secteur tertiaire est particulièrement important, où la proportion dans la population active des cadres et des employés est exceptionnellement forte, ces traits pourraient ne pas apparaître comme un caractère original de la population rapatriée. Pourtant les
figures 4 et 5 montrent que ces catégories sont nettement sur-représentées même chez les rapatriés
La faible proportion de patrons est facile à expliquer. L'installation de nouveaux patrons s'est révélée fort difficile dans une région où la situation de crise de la petite entreprise est très aiguë, ainsi en témoigne la faiblesse de la catégorie dans ensemble de la population active de la région.
Mais si une majorité de rapatriés semble s'être ainsi intégrée sans problèmes majeurs, à la population de l'agglomération, il existe cependant parmi eux une minorité qui apparaît mal dans les statistiques globales et qui appartient à des catégories diverses : commerçants, artisans, employés,
ouvriers, personnel de service, dont l'adaptation a posé et pose encore de nombreux problèmes. L'analyse de la répartition des rapatriés dans les différentes communes de l'agglomération, celle du regroupement dans certaines localités de minorités ayant des difficultés sont la seule méthode dont
nous disposons pour approcher, du moins de façon qualitative, ces problèmes.
La localisation actuelle des rapatriés dépend, plus que d'un libre choix, de la façon dont chacun d'entre eux a résolu le difficile problème du logement : l'offre était déjà dans ce domaine très déficitaire lors de l'arrivée des rapatriés et la présence de ces 138 000 nouveaux Parisiens ne fit qu'aggraver la situation. Néanmoins des mesures donnant priorité aux rapatriés furent prises : ainsi au 1er janvier 1964, 30% des logements H.L.M leur ont été réservés dans toute la France. Des programmes spéciaux de construction à leur intention furent mis sur pied, mais une partie de ces logements construits " au titre des rapatriés " par la S.C.I.C en particulier, furent terminés seulement en 1965 ou 1966 alors que les rapatriés étaient déjà logés ; ils se sont vus occupés par d'autres habitants. Enfin des prêts spéciaux furent consentis aux rapatriés désireux d'acheter un logement, ainsi qu'aux constructeurs leur réservant une part de leurs programmes. En outre, les rapatriés de la région parisienne ayant réussi assez vite à se reclasser ont pu, selon leur revenu, participer au financement de leur logement. Malgré cela les dispositions prises dans la mesure où elles ne changèrent pas le nombre total des logements construits1 provoquèrent entre rapatriés et population parisienne des frictions plus graves que celles que l'on avait craint sur le marché du travail.
La répartition actuelle des rapatriés dans la région apparaît donc aujourd'hui liée à l'âge des logements de tous types : la proportion de rapatriés est toujours importante dans les logements terminés en 1962-1964. Elle est particulièrement forte dans les grands ensembles achevés durant ces années par les offices H.L.M ou la Caisse des dépôts et consignations, ensembles où de nombreux logements leur ont été réservés. Elle dépend aussi des possibilités financières personnelles, c'est-à-dire en fin de compte, des catégories socio-professionnelles auxquelles ils appartiennent et de leurs désirs éventuels de regroupement, de rapprochement.
En décrivant la localisation des rapatriés en 1968 nous nous efforcerons de dégager l'importance relative de chacun de ces facteurs.
1. Fédération nationale du Bâtiment, op cit
En 1968 30 000 rapatriés vivent dans la ville de Paris. Les figures 8 et 9 indiquent leur répartition par quartier ; on y note leur remarquable dispersion alors qu'ils représentent 1,1% de la population totale de la ville, les rapatriés représentent 0,5 à 1,8% de la population de chaque quartier. Les différences entre les quartiers apparaissent donc comme des nuances de cette dispersion : d'ailleurs sur 80 quartiers à Paris, 50 abritent une population rapatriée représentant de 0,8 à 1,2% de la population du Quartier.
1. L.PALACIO " Les Pieds-Noirs dans le monde ", Paris, Didier,1968.
Cette population demeurée là paraît le plus souvent appartenir à la minorité de la communauté juive d'Algérie mal intégrée à la population française, la majorité de cette communauté se confondant en grande partie avec le reste de la population rapatriée 1. La présence de cette colonie a changé
l'ambiance du quartier ; il en est pour preuve que le marché de la rue Bouchardon, près de la porte Saint-Martin où les épiceries orientales et les boucheries kacher réapparaissent, où l'on s'interpelle en judéo-arabe. L'importance de cette population qui représente une clientèle politique en puissance,
n'a pas échappé aux élus locaux, comme en témoigne la lettre envoyée par Claude-Gérard Marcus député U.D.R du Xe arrondissement et conseiller général à tous les électeurs juifs à l'occasion de la nouvelle année israélite (septembre 1970), où il rappelait l'aide apportée aux " drames " et aux " cas douloureux ... à la suite de la tourmente qui entraîna l'exode ", affirmant : " Je me suis donc consacré à faciliter l'intégration des rapatriés dans la communauté française " 2.
Nous nous sommes étendus plus longuement sur ces quartiers car ils sont dans l'agglomération parisienne, le seul exemple que nous ayons rencontré d'une communauté organisée, mal intégrée dans l'ensemble de la population française, rappelant les quartiers ethniques des grandes villes américaines par exemple. La pratique stricte de la religion et de ses contraintes alimentaires, le souvenir des persécutions passées, probablement les types d'activités artisanales et commerciales communes contribuent à sauvegarder dans Paris, la cohésion de cette communauté où les rapatriés juifs d'Algérie se confondent avec ceux des autres Etats Afrique du Nord, dont seule la nationalité française les différencie.
1. Sur le degré assez élevé d'intégration des juifs d'Algérie à la population française, voir D.BENSIMON-DONATH, Op. Cit.
2. Circulaire envoyée à ses électeurs par Cl.-G Marcus le 22 février 1971.
Dans la banlieue parisienne les rapatriés sont 108 000, près de trois fois et demi plus que dans Paris. Les contrastes entre les zones où les rapatriés sont rares et celles où ils sont nombreux sont en chiffres absolus comme en pourcentages beaucoup plus nets en banlieue que dans la capitale (fig 10 et 11).
Les rapatriés ne sont pas installés à la périphérie de l'agglomération dans les communes où le processus d'urbanisation est encore en cours. Sauf deux exceptions, toutes les communes dont la population rapatriée représente moins de 0,7% de la population totale appartiennent à cette catégorie, et la carte de la répartition des rapatriés en chiffres absolus confirme leur faible implantation dans l'auréole extérieure de l'agglomération. De même, la population rapatriée est peu dense dans les communes entourant immédiatement la ville : ici les chiffres absolus sont rarement forts, l'importance relative des rapatriés ne dépassant que dans un cas (Gentilly) 1,8% de la population totale. Dans cette zone déjà densément peuplée comme dans Paris, les logements libres étaient rares et les rapatriés sont dispersés dans l'ensemble de la population.
C'est dans la zone moyenne (5 à 20 km de Paris), zone où le nombre de logements construits est actuellement le plus important que se trouvent les principales concentrations de rapatriés.
C'est le cas, dans la banlieue nord, d'un groupe de dix communes des départements de Seine-Saint-Denis et du Val d'Oise : Saint-Denis, La Courneuve, Dugny, Garges-lès-Gonesse, Sarcelles, Le Blanc-Mesnil, Rosny-sous-Bois, Bondy, Aulnay-sous-Bois, Gonesse. Ces communes regroupent
18 000 rapatriés soit 17% de l'ensemble de ceux de la banlieue parisienne. Il agit d'une zone de banlieue très variée ; il dix ans on y aurait opposé des communes très industrielles comme La Courneuve ou Saint-Denis, des communes ayant gardé de vastes espaces agricoles à côté de zones
pavillonnaires comme Sarcelles ou Garges. Mais sur l'emplacement des anciennes exploitations comme sur celui des premières usines décentralisées, on assiste aujourd'hui au même phénomène : la construction de " grands ensembles résidentiels ". Si la part des promoteurs privés n'est pas négligeable dans ces constructions, la propriété publique ou semi-publique domine : sociétés H.L.M et Caisse des dépôts et consignations ont multiplié ici les appartements à loyer modéré. Beaucoup de logements ont été terminés entre 1962 et 1965 (principales tranches du groupe H.L.M des
4 000 logements à La Courneuve, tranches VII et VIII du grand ensemble de Sarcelles) et nombre d'entre eux ont été attribués aux rapatriés (372 logements locatifs et 100 en accession la propriété sur la tranche VII de l'ensemble de Sarcelles 150 dans celui de Blanc-Mesnil...1).
Les rapatriés restés
dans ces logements en 1968 appartiennent souvent des classes sociales modestes : ouvriers et employés mais les cadres, surtout moyens, y sont aussi bien représentés. La présence de cadres rapatriés en banlieue nord va dans le sens du changement de contenu social de cette banlieue massivement ouvrière dans le passé ; ce changement a été signalé par Michel Freyssinet,
Thomas Regazzola et Jacques Retel 2, qui notent en particulier à Sarcelles, Garges et Dugny, l'apparition de noyaux de population où les cadres sont assez nombreux.
1. Statistiques fournies par les services de gestion de la S.C.I.G.
2. M.FREYSSINET, T.REGAZZOLA et J.RETEL, " Ségrégation spatiale et déplacements sociaux dans l'agglomération parisienne de 1954 à 1968 ". Centre de sociologie urbaine. 1971.
Il est possible d'observer les problèmes qui se posent aux plus modestes de ces rapatriés de la banlieue nord en étudiant la population de la cité des 4000 logements à La Courneuve. Cette cité construite par l'Office H.L.M de la ville de Paris était destinée à reloger les habitants chassés des îlots insalubres ou des quartiers en voie de rénovation de la capitale. Ayant été terminée pour l'essentiel en 1962-1963, la règle des 30% lui fut appliquée et un tiers de ses logements fut donc attribué aux rapatriés. La cité abrite aujourd'hui la plus grande partie des 744 rapatriés recensés dans la commune et ils représentent nettement plus de 10% des quelque 20 000 habitants de l'ensemble. Mais une partie des rapatriés logée en 1962 aux Quatre Mille a quitté cette cité peu attractive, d'aspect sévère, qui manque cruellement d'espaces verts et d'équipements de loisirs. Une sélection est ainsi opérée parmi eux et la cité n'a retenu que des gens ayant des difficultés particulières d'origines variées : familles nombreuses et problèmes d'adaptation professionnelle paraissent dominer. On trouve parmi eux beaucoup d'anciens travailleurs indépendants en Algérie : coiffeurs, maroquiniers, tailleurs, camionneurs, épiciers… qui acceptent très mal la perte de leur
statut ou l'abandon de leur profession. Les juifs d'Algérie sont nombreux parmi eux et se confondent ici encore avec ceux de Tunisie et du Maroc ayant les mêmes caractères démographiques, les mêmes types d'activité, les mêmes problèmes ; ils constituent l'ensemble d'une communauté religieuse bien organisée, ce qui les aide lutter contre isolement. Les difficultés d'ordre professionnel ou pécuniaire de ces familles sont en effet aggravées par les problèmes de relations avec d'autres groupes de la cité, en particulier avec les Algériens qui sont nombreux. La grisaille du climat et du paysage urbain contribue aussi à rendre difficile l'adaptation de cette population à la vie parisienne. La cité des 4 000 logements, par son recrutement est devenue un véritable échantillonnage des populations à problèmes de la région parisienne, les rapatriés apparaissant comme un cas parmi d'autres 2.
La concentration des rapatriés n'est pas aussi nette dans la banlieue sud et sud-est que dans les dix communes de la banlieue nord étudiées précédemment. Cependant la figure 10 indique que les rapatriés représentent dans l'ensemble, une part plus importante de la population totale dans les communes de la banlieue sud que dans les autres régions de banlieue. En effet le développement de la banlieue sud a été particulièrement vigoureux entre 1962 et 1968 (ainsi Créteil, Thiais, Orly Ris-Orangis, 35 à 60% des logements recensés en 1968 avaient été construits entre ces deux dates.
1. " Guide juif de France ", Ed Migdal, 1970.
3. Nous devons l'essentiel de nos remarques à Mme Gilbert COLLET directrice de l'école maternelle Romain-Rolland, dans la cité des Quatre-Mille Logements à La Courneuve, école qui accueille une partie des enfants de ces rapatriés.
- Thiais et Orly deux communes en cours d'urbanisation rapide groupent 836 rapatriés représentant respectivement 5,8 et 4,9% de la population de chacune des deux communes.
- Créteil et Valenton comptent 184 rapatriés dont 560 à Créteil.
Dans le cadre de la ville nouvelle, la Caisse des dépôts et consignations a achevé un vaste ensemble résidentiel de 492 logements entre 1963 et 1965.
Les appartements des tranches terminées en 1963 ont été attribués à des rapatriés tandis que 514 appartements destinés la vente et terminés en 1965 bénéficiaient de prêts spéciaux pour lesquels les rapatriés avaient une priorité. Par certains caractères, la population de la partie locative du grand
ensemble de Créteil n'est pas sans rappeler celle de la cité des 4 000 logements à La Courneuve : cadre sévère, rareté des transports et absence d'équipements, difficultés d'adaptation professionnelle… Ici aussi, une importante communauté religieuse israélite s'est constituée depuis 1962.
- Boulogne-Billancourt, Clamart et Meudon groupent 660 rapatriés ; toutefois dans cette banlieue densément peuplée ils ne représentent qu'un pourcentage médiocre de la population totale : 3,7% à Meudon il est vrai, mais 2,1 à 1,5 % à Clamart et Boulogne-Billancourt.
Les communes ouest de Versailles, Saint-Cyr-l'Ecole, Rocquencourt et Fontenay-le-Fleury, apparaissent sur la carte comme une zone de concentration en pourcentages : elles ont toutes trois plus de 3,5% de rapatriés dans leur population, mais ne totalisent en fait que 1 188 rapatriés. Il s'agit
d'une zone de banlieue au développement très récent (80% des logements de Fontenay, 70% de ceux de Rocquencourt ont été achevés pendant la dernière période intercensitaire), encore très peu peuplée. Les rapatriés habitent ici des appartements ou des pavillons qu'ils ont achetés, le plus souvent à un prix élevé
La diffusion des rapatriés dans l'ensemble de la région parisienne apparaît comme un indice de leur intégration à la population parisienne. Cette intégration a été facilitée par la faiblesse de la masse des rapatriés par rapport à la population totale ; elle l'a été aussi par les caractères spécifiques des
rapatriés établis en région parisienne : jeunesse, importance des catégories sociales dont la réinsertion dans l'économie française est la plus facile. Certains groupes échappent cependant cette tendance : dans les vieux quartiers de la rive droite de Paris et dans les cités de La Courneuve et de
Créteil. Mais il s'agit souvent de groupes de juifs venant de petites villes algériennes qui étaient déjà en Algérie mal intégrés à la population pied-noir.
L'existence de ces groupes " marginaux " n'est pas un caractère original de la population rapatriée, la population parisienne en comprend d'autres.
Paradoxalement la façon dont ces groupes se sont fixés près d'autres groupes ayant des problèmes d'adaptation analogues (tandis que la majorité des rapatriés, en particulier les cadres, les employés, les fonctionnaires allaient rejoindre dans les constructions nouvelles de Paris et de banlieue leurs
homologues métropolitains) est un indice supplémentaire d'intégration.
Ainsi comme elle l'a fait depuis un siècle pour tant de provinciaux, la capitale a intégré ces nouveaux arrivants et aujourd'hui seul un accent et quelques coutumes alimentaires permettent de distinguer certains pieds-noirs des autres habitants de l'agglomération. Mais il ne faut pas confondre intégration et assimilation : beaucoup de difficultés psychologiques subsistent.
Si l'intégration a été plus poussée et plus facile pour les rapatriés que pour d'autres groupes (étrangers par exemple), c'est peut-être a cause de la situation antérieure des Français d'Algérie dans le cadre colonial. Malgré des attaches réelles avec l'Algérie cette population parlant français et ayant un mode de vie très proche de celui des autres Français n'était-elle pas d'abord une population française plus étrangère en Algérie qu'en métropole ?
Michelle Guillon.
http://www.persee.fr/doc/geo_0003-4010_1974_num_83_460_18959
NDLR : Comme souvent, les études sur la communauté Pieds-Noirs se terminent par la phrase qui tue.
Ici nous serions des étrangers dans notre propre pays. Il ne faut donc pas s'étonner des nombreuses déclarations qui nous mélangent à des immigrés.
En lisant cette étude, nous pouvons remarquer que l'INSEE n'est pas exempte d'erreurs et d'approximations. La prudence est donc de rigueur dans la prise en compte de ses études.